NESSUS Hybrid FORM - Multimodal Adaptive Importance Sampling
NESSUS First-Order Reliability Method [1]
First-Order Reliability Method (FORM) searches for the Most Probable Point (MPP) and then computes the reliability based on an approximation to the limit state at this point. Unlike the MV or AMV+ methods FORM actually operates in transformed standard normal u-space. FORM works with trying to approximate the g-function by simple linear function. FORM generally computes probability in less than 200 model evaluations for 8 design variables. This method should not be used with discrete design variables or discrete response variables. Multiple local MPPs may induce error in the probability estimation by this method and that error tends to be most pronounced for large probabilities of failure.
The FORM probability solution is based on the linearization of the g-function at the MPP in the u-space. The first-order polynomial g1(u), is:
Given g1(u), the probability of failure is a function of the minimum distance to the plane defined by g1 in the u-space:
where
is computed from
which is allowed to take negative values. A negative
means the origin is in the failure region (i.e for the case of pf > 0.5). The following figure shows FORM results and all details:
Multimodal Adaptive Importance Sampling (MAIS)
Multimodal adaptive importance sampling (MAIS) [2,3] is a variation of importance sampling that allows for the use of multiple sampling densities, making it better suited for cases where multiple sections of the limit state are highly probable. MAIS methods require the MPP as a starting point. MAIS efficiency over Monte Carlo increases as the probability of failure decreases. MAIS can be used as an improvement or verification of the probability calculations when using FORM, AMV+. MAIS is performed through the following steps:
1. Generate n initial samples using a sampling density centered at the MPP.
2. Find k “representative points” from these samples:
a. Select the sample with the largest true probability of occurrence.
b. Eliminate all samples within a specified distance (e.g.,
) of this point.
c. Repeat steps a. and b. until all samples are exhausted.
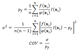
3. Calculate the coefficient of variation COV from the n samples:
where
is the multimodal sampling density function defined below (initially, it is the sampling density function centered at the MPP).
4. Use the k representative points to construct a multimodal sampling density
.
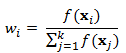
a. Calculate the weight for each representative point, which is based on its probability density relative to that of the other representative points:
![]()
b. The multimodal sampling density is then the weighted sum of the probability densities centered at the representative points:
![]()
where
is the true probability density with the mean shifted to the
representative point.
5. Generate n samples using
.
6. Repeat steps 2-5 until COV converges. In CENTAUR, we use a convergence tolerance of 0.1 for this step.
7. Generate n samples using the sampling density
from the final set of representative points.
8. Calculate pf and COV from these samples.
9. Repeat Steps 7-8 until COV converges.
Control Parameters
| Name | Default Value | Description |
|---|---|---|
| Samples | 50 | This option sets the number of samples to be used in each iteration in the importance sampling. |
| MaxSamples | 1000 | This option is used to set the maximum number of samples in the importance sampling. This does not include the number of evaluations needed to locate the MPP. |
| Convergence Tolerance | 0.05 | Coefficient of Variation is used as a convergence tolerance. Coefficient of variation is the ratio of standard deviation of probability of failure to that of probability of failure (in this case estimated probability of failure). The smaller the value of coefficient of variation, more accurate is the estimate of probability. This option can take value between 0 and 1 and is advisable to have a value between 0.01 and 0.2. |
| Finite Difference Step Size | 0.01 |
This option is used to calculate finite difference step size. The step sizes are determined based on the value of this option multiplied by the mean value of the design variable. Thus if the mean value of the design variable was 5 and the finite difference step size option had the value of 0.1, the actual step size would be 0.1*5 = 0.5. The step size is used by the underlying optimizer trying to locate the MPP. The option expects a value typically within 0 and 1. |
| Seed | N/A | The seed sets the starting point for the random number generator used with importance sampling. If running multiple tests, keep this value the same if all else is constant. If left blank, Analyzer will generate its own. |
References:
1. NESSUS Theoretical Manual, February 17, 2012, Section 3
2. Dey, A. and Mahadevan, S., Ductile Structural System Reliability Analysis Using Adaptive Importance Sampling, Structural Safety, Vol. 20, 1998, pp. 137-154.
3. Zou, T., Mourelatos, Z., Mahadevan, S., and Tu, J., Reliability Analysis of Automotive Body-Door Subsystem, Reliability Engineering and System Safety, Vol. 78, 2002, pp. 315-324.
is the true probability density with the mean shifted to the
representative point.